- 新闻组语料库
- 把不要的东西丢掉!
- 常用词和停词
- 编写Python代码
新闻组语料库
我们下面要处理的数据集是新闻,这些新闻可以分为不同的新闻组,我们会构造一个分类器来判断某则新闻是属于哪个新闻组的:

比如下面这则新闻是属于rec.motorcycles组的:

注意到这则新闻中还有一些拼写错误(如accesories、ussually等),这对分类器是一个不小的挑战。
这些数据集都来自 http://qwone.com/~jason/20Newsgroups/ (我们使用的是20news-bydate数据集),你也可以从 这里 获得。
这个数据集包含18,846个文档,并将训练集(60%)和测试集放在了不同的目录中,每个子目录都是一个新闻组,目录中的文件即新闻文本。
把不要的东西丢掉!
比如我们要对下面这篇新闻做分类:

让我们看看哪些单词是比较重要的:

(helpful - 重要,not helpful - 不重要)
如果我们将英语中最常用的200个单词剔除掉,这篇新闻就成了这样:

去除掉这些单词后,新闻就只剩下一半大小了。而且,这些单词看上去并不会对分类结果产生影响。H.P. Luhn在他的论文中说“这些组成语法结构的单词是没有意义的,反而会产生很多噪音”。
也就是说,将这些“噪音”单词去除后是会提升分类正确率的。我们将这些单词称为“停词”,有专门的停词表可供使用。去除这些词的理由是:
- 能够减少需要处理的数据量;
- 这些词的存在会对分类效果产生负面影响。
常用词和停词
虽然像the、a这种单词的确没有意义,但有些常用词如work、write、school等在某些场合下还是有作用的,如果将他们也列进停词表里可能会有问题。

年轻人,那些常用词是不能随便丢弃的!
因此在定制停词表时还是需要做些考虑的。比如要判别阿拉伯语文档是在哪个地区书写的,可以只看文章中最常出现的词(和上面的方式相反)。如果你有兴趣,可以到我的 个人网站 上看看这篇论文。
而在分析聊天记录时,强奸犯会使用更多I、me、you这样的词汇,如果在分析前将这些单词去除了,效果就会变差。

不要盲目地使用停词表!
编写Python代码
首先让我们实现朴素贝叶斯分类器的训练部分。训练集的格式是这样的:

最上层的目录是训练集(20news-bydate-train),其下的子目录代表不同的新闻组(如alt.atheism),子目录中有多个文本文件,即新闻内容。测试集的目录结构也是相同的。因此,分类器的初始化代码要完成以下工作:
- 读取停词列表;
- 获取训练集中各目录(分类)的名称;
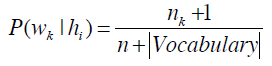
- 对于各个分类,调用train方法,统计单词出现的次数;
- 计算下面的公式:

from __future__ import print_functionimport os, codecs, mathclass BayesText:def __init__(self, trainingdir, stopwordlist):"""朴素贝叶斯分类器trainingdir 训练集目录,子目录是分类,子目录中包含若干文本stopwordlist 停词列表(一行一个)"""self.vocabulary = {}self.prob = {}self.totals = {}self.stopwords = {}f = open(stopwordlist)for line in f:self.stopwords[line.strip()] = 1f.close()categories = os.listdir(trainingdir)# 将不是目录的元素过滤掉self.categories = [filename for filename in categoriesif os.path.isdir(trainingdir + filename)]print("Counting ...")for category in self.categories:print(' ' + category)(self.prob[category],self.totals[category]) = self.train(trainingdir, category)# 删除出现次数小于3次的单词toDelete = []for word in self.vocabulary:if self.vocabulary[word] < 3:# 遍历列表时不能删除元素,因此做一个标记toDelete.append(word)# 删除for word in toDelete:del self.vocabulary[word]# 计算概率vocabLength = len(self.vocabulary)print("Computing probabilities:")for category in self.categories:print(' ' + category)denominator = self.totals[category] + vocabLengthfor word in self.vocabulary:if word in self.prob[category]:count = self.prob[category][word]else:count = 1self.prob[category][word] = (float(count + 1)/ denominator)print ("DONE TRAINING\n\n")def train(self, trainingdir, category):"""计算分类下各单词出现的次数"""currentdir = trainingdir + categoryfiles = os.listdir(currentdir)counts = {}total = 0for file in files:#print(currentdir + '/' + file)f = codecs.open(currentdir + '/' + file, 'r', 'iso8859-1')for line in f:tokens = line.split()for token in tokens:# 删除标点符号,并将单词转换为小写token = token.strip('\'".,?:-')token = token.lower()if token != '' and not token in self.stopwords:self.vocabulary.setdefault(token, 0)self.vocabulary[token] += 1counts.setdefault(token, 0)counts[token] += 1total += 1f.close()return(counts, total)
训练结果存储在一个名为prop的字典里,字典的键是分类,值是另一个字典——键是单词,值是概率。

god这个词在rec.motorcycles新闻组中出现的概率是0.00013,而在soc.religion.christian新闻组中出现的概率是0.00424。
训练阶段的另一个产物是分类列表:


训练结束了,下面让我们开始进行文本分类吧。
请尝试编写一个分类器,达成以下效果:


def classify(self, filename):results = {}for category in self.categories:results[category] = 0f = codecs.open(filename, 'r', 'iso8859-1')for line in f:tokens = line.split()for token in tokens:#print(token)token = token.strip('\'".,?:-').lower()if token in self.vocabulary:for category in self.categories:if self.prob[category][token] == 0:print("%s %s" % (category, token))results[category] += math.log(self.prob[category][token])f.close()results = list(results.items())results.sort(key=lambda tuple: tuple[1], reverse = True)# 如果要调试,可以打印出整个列表。return results[0][0]
最后我们编写一个函数对测试集中的所有文档进行分类,并计算准确率:
def testCategory(self, directory, category):files = os.listdir(directory)total = 0correct = 0for file in files:total += 1result = self.classify(directory + file)if result == category:correct += 1return (correct, total)def test(self, testdir):"""测试集的目录结构和训练集相同"""categories = os.listdir(testdir)# 过滤掉不是目录的元素categories = [filename for filename in categories ifos.path.isdir(testdir + filename)]correct = 0total = 0for category in categories:print(".", end="")(catCorrect, catTotal) = self.testCategory(testdir + category + '/', category)correct += catCorrecttotal += catTotalprint("\n\nAccuracy is %f%% (%i test instances)" %((float(correct) / total) * 100, total))
在不使用停词列表的情况下,这个分类器的效果是:


准确率77.77%,看起来很不错。如果用了停词列表效果会如何呢?
那让我们来测试一下吧!
请自行到网络上查找一些停词列表,并填写以下表格:

我找到了两个停词列表,分别是包含25个词 和174个词 的列表,结果如下:

看来第二个停词列表能提升2%的效果,你的结果如何?
