- 使用Python代码来表示数据(终于要开始编程了)
- 计算曼哈顿距离
- 用户的问题
- 皮尔逊相关系数
使用Python代码来表示数据(终于要开始编程了)
在Python中,我们可以用多种方式来描述上表中的数据,这里我选择Python的字典类型(或者称为关联数组、哈希表)。
注:本书的所有代码可以在这里找到。
users = {"Angelica": {"Blues Traveler": 3.5, "Broken Bells": 2.0, "Norah Jones": 4.5, "Phoenix": 5.0, "Slightly Stoopid": 1.5, "The Strokes": 2.5, "Vampire Weekend": 2.0},"Bill":{"Blues Traveler": 2.0, "Broken Bells": 3.5, "Deadmau5": 4.0, "Phoenix": 2.0, "Slightly Stoopid": 3.5, "Vampire Weekend": 3.0},"Chan": {"Blues Traveler": 5.0, "Broken Bells": 1.0, "Deadmau5": 1.0, "Norah Jones": 3.0, "Phoenix": 5, "Slightly Stoopid": 1.0},"Dan": {"Blues Traveler": 3.0, "Broken Bells": 4.0, "Deadmau5": 4.5, "Phoenix": 3.0, "Slightly Stoopid": 4.5, "The Strokes": 4.0, "Vampire Weekend": 2.0},"Hailey": {"Broken Bells": 4.0, "Deadmau5": 1.0, "Norah Jones": 4.0, "The Strokes": 4.0, "Vampire Weekend": 1.0},"Jordyn": {"Broken Bells": 4.5, "Deadmau5": 4.0, "Norah Jones": 5.0, "Phoenix": 5.0, "Slightly Stoopid": 4.5, "The Strokes": 4.0, "Vampire Weekend": 4.0},"Sam": {"Blues Traveler": 5.0, "Broken Bells": 2.0, "Norah Jones": 3.0, "Phoenix": 5.0, "Slightly Stoopid": 4.0, "The Strokes": 5.0},"Veronica": {"Blues Traveler": 3.0, "Norah Jones": 5.0, "Phoenix": 4.0, "Slightly Stoopid": 2.5, "The Strokes": 3.0}}
我们可以用以下方式来获取某个用户的评分:
>>> users["Veronica"]{"Blues Traveler": 3.0, "Norah Jones": 5.0, "Phoenix": 4.0, "Slightly Stoopid": 2.5, "The Strokes": 3.0}>>>
计算曼哈顿距离
def manhattan(rating1, rating2):"""计算曼哈顿距离。rating1和rating2参数中存储的数据格式均为{'The Strokes': 3.0, 'Slightly Stoopid': 2.5}"""distance = 0for key in rating1:if key in rating2:distance += abs(rating1[key] - rating2[key])return distance
我们可以做一下测试:
>>> manhattan(users['Hailey'], users['Veronica'])2.0>>> manhattan(users['Hailey'], users['Jordyn'])7.5>>>
下面我们编写一个函数来找出距离最近的用户(其实该函数会返回一个用户列表,按距离排序):
def computeNearestNeighbor(username, users):"""计算所有用户至username用户的距离,倒序排列并返回结果列表"""distances = []for user in users:if user != username:distance = manhattan(users[user], users[username])distances.append((distance, user))# 按距离排序——距离近的排在前面distances.sort()return distances
简单测试一下:
>>> computeNearestNeighbor("Hailey", users)[(2.0, 'Veronica'), (4.0, 'Chan'), (4.0, 'Sam'), (4.5, 'Dan'), (5.0, 'Angelica'), (5.5, 'Bill'), (7.5, 'Jordyn')]
最后,我们结合以上内容来进行推荐。
假设我想为Hailey做推荐,这里我找到了离他距离最近的用户Veronica。然后,我会找到出Veronica评价过但Hailey没有评价的乐队,并假设Hailey对这些陌生乐队的评价会和Veronica相近。
比如,Hailey没有评价过Phoenix乐队,而Veronica对这个乐队打出了4分,所以我们认为Hailey也会喜欢这支乐队。下面的函数就实现了这一逻辑:
def recommend(username, users):"""返回推荐结果列表"""# 找到距离最近的用户nearest = computeNearestNeighbor(username, users)[0][1]recommendations = []# 找出这位用户评价过、但自己未曾评价的乐队neighborRatings = users[nearest]userRatings = users[username]for artist in neighborRatings:if not artist in userRatings:recommendations.append((artist, neighborRatings[artist]))# 按照评分进行排序return sorted(recommendations, key=lambda artistTuple: artistTuple[1], reverse = True)
下面我们就可以用它来为Hailey做推荐了:
>>> recommend('Hailey', users)[('Phoenix', 4.0), ('Blues Traveler', 3.0), ('Slightly Stoopid', 2.5)]
运行结果和我们的预期相符。我们看可以看到,和Hailey距离最近的用户是Veronica,Veronica对Phoenix乐队打了4分。我们再试试其他人:
>>> recommend('Chan', users)[('The Strokes', 4.0), ('Vampire Weekend', 1.0)]>>> recommend('Sam', users)[('Deadmau5', 1.0)]
我们可以猜想Chan会喜欢The Strokes乐队,而Sam不会太欣赏Deadmau5。
>>> recommend('Angelica', users)[]
对于Angelica,我们得到了空的返回值,也就是说我们无法对其进行推荐。让我们看看是哪里有问题:
>>> computeNearestNeighbor('Angelica', users)[(3.5, 'Veronica'), (4.5, 'Chan'), (5.0, 'Hailey'), (8.0, 'Sam'), (9.0, 'Bill'), (9.0, 'Dan'), (9.5, 'Jordyn')]
Angelica最相似的用户是Veronica,让我们回头看看数据:

我们可以看到,Veronica评价过的乐队,Angelica也都评价过了,所以我们没有推荐。
之后,我们会讨论如何解决这一问题。
作业:实现一个计算闵可夫斯基距离的函数,并在计算用户距离时使用它。
def minkowski(rating1, rating2, r):distance = 0for key in rating1:if key in rating2:distance += pow(abs(rating1[key] - rating2[key]), r)return pow(distance, 1.0 / r)# 修改computeNearestNeighbor函数中的一行distance = minkowski(users[user], users[username], 2)# 这里2表示使用欧几里得距离
用户的问题
让我们仔细看看用户对乐队的评分,可以发现每个用户的打分标准非常不同:
- Bill没有打出极端的分数,都在2至4分之间;
- Jordyn似乎喜欢所有的乐队,打分都在4至5之间;
- Hailey是一个有趣的人,他的分数不是1就是4。
那么,如何比较这些用户呢?比如Hailey的4分相当于Jordan的4分还是5分呢?我觉得更接近5分。这样一来就会影响到推荐系统的准确性了。

- 左:我非常喜欢Broken Bells乐队,所以我给他们打4分!
- 右:Broken Bells乐队还可以,我打4分。
皮尔逊相关系数
解决方法之一是使用皮尔逊相关系数。简单起见,我们先看下面的数据(和之前的数据不同):

这种现象在数据挖掘领域称为“分数膨胀”。Clara最低给了4分——她所有的打分都在4至5分之间。我们将它绘制成图表:

一条直线——完全吻合!!!
直线即表示Clara和Robert的偏好完全一致。他们都认为Phoenix是最好的乐队,然后是Blues Traveler、Norah Jones。如果Clara和Robert的意见不一致,那么落在直线上的点就越少。
意见基本一致的情形

意见不太一致的情形

所以从图表上理解,意见相一致表现为一条直线。
皮尔逊相关系数用于衡量两个变量之间的相关性(这里的两个变量指的是Clara和Robert),它的值在-1至1之间,1表示完全吻合,-1表示完全相悖。
从直观上理解,最开始的那条直线皮尔逊相关系数为1,第二张是0.91,第三张是0.81。因此我们利用这一点来找到相似的用户。
皮尔逊相关系数的计算公式是:

这里我说说自己的经历。我大学读的是现代音乐艺术,课程包括芭蕾、现代舞、服装设计等,没有任何数学课程。
我高中读的是男子学校,学习了管道工程和汽车维修,只懂得很基础的数学知识。不知是因为我的学科背景,还是习惯于用直觉来思考,当我遇到这样的数学公式时会习惯性地跳过,继续读下面的文字。
如果你和我一样,我强烈建议你与这种惰性抗争,试着去理解这些公式。它们虽然看起来很复杂,但还是能够被常人所理解的。
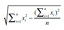
上面的公式除了看起来比较复杂,另一个问题是要获得计算结果必须对数据做多次遍历。好在我们有另外一个公式,能够计算皮尔逊相关系数的近似值:

这个公式虽然看起来更加复杂,而且其计算结果会不太稳定,有一定误差存在,但它最大的优点是,用代码实现的时候可以只遍历一次数据,我们会在下文看到。
首先,我们将这个公式做一个分解,计算下面这个表达式的值:

对于Clara和Robert,我们可以得到:

很简单把?下面我们计算这个公式:

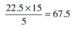
Clara的总评分是22.5, Robert是15,他们评价了5支乐队,因此:

所以,那个巨型公式的分子就是70 - 67.5 = 2.5。
下面我们来看分母:

首先:

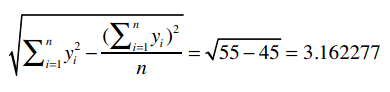
我们已经计算过Clara的总评分是22.5,它的平方是506.25,除以乐队的数量5,得到101.25。综合得到:

对于Robert,我们用同样的方法计算:

最后得到:

因此,1表示Clara和Robert的偏好完全吻合。
先休息一下吧

计算皮尔逊相关系数的代码
from math import sqrtdef pearson(rating1, rating2):sum_xy = 0sum_x = 0sum_y = 0sum_x2 = 0sum_y2 = 0n = 0for key in rating1:if key in rating2:n += 1x = rating1[key]y = rating2[key]sum_xy += x * ysum_x += xsum_y += ysum_x2 += pow(x, 2)sum_y2 += pow(y, 2)# 计算分母denominator = sqrt(sum_x2 - pow(sum_x, 2) / n) * sqrt(sum_y2 - pow(sum_y, 2) / n)if denominator == 0:return 0else:return (sum_xy - (sum_x * sum_y) / n) / denominator
测试一下:
>>> pearson(users['Angelica'], users['Bill'])-0.9040534990682699>>> pearson(users['Angelica'], users['Hailey'])0.42008402520840293>>> pearson(users['Angelica'], users['Jordyn'])0.7639748605475432
好,让我们继续~
